Apart from purchasing from the Market, many items can be acquired in the form of end mission rewards for free. Most rewards are randomly generated from a predetermined drop table depending on the mission and tile set. Most mission rewards exist in the form of Blueprints or components that require players to combine with various resources in order to construct a usable item in the Foundry.
Standard Missions[]
There are several different missions that are available on the Star Chart. They can be split into two categories: endless and non-endless.
Reward Rotations[]
Sometimes players will refer to an A, B, and C rotation for rewards. Internally, a reward rotation refers to the specific Drop Table that the game chooses to reward the player from.
In the context of endless missions, there are always three different drop tables that the player can get rewards from that 'rotates' through at a constant interval or when specific criteria are met. These series of drop tables can differ by mission type and by tier levels of missions. For example, in a Survival mission, at the 5 and 10-minute mark, the player can get a reward from drop table 'A', but at the 15-minute mark, the game rewards the player from drop table 'B'.
In the context of Resource Caches, Rotations refer to the number of caches collected: The first cache found draws from the 'Rotation A' rewards, the second cache from the 'Rotation B' rewards, and the third cache from the 'Rotation C' rewards.
In the context of Spy missions, Rotations refer to the number of vaults opened: The first vault successfully opened will draw from the 'Rotation A' rewards, the second from the 'Rotation B' rewards, and the third from the 'Rotation C' rewards. Rewards are based only on the number of vaults opened, not the in-game label given to the vaults; If only one vault is successfully opened, only a Rotation A reward will be given, even if the vault opened was labeled as Vault C.
Resource and drop chance bonuses such as
Smeeta Kavat's
Charm, Resource Boosters, Resource Drop Chance Boosters, Mod Drop Chance Boosters, The Steel Path, and True Master's Font have no effect on rotation rewards.
Bounties[]
- Main article: Bounty
For each 150-minute cycle, all multi-stage bounties share the same drop table label (A, B, or C) which determines what drop table to choose the reward from. In other words, when we talk about reward rotations for bounties, we refer to each 150-minute cycle as a single rotation, not each stage completion. Rewards from single stage bounties will stay the same regardless of what cycle it is.
Using language from the official Drop Tables, say a player plays a bounty with four stages, each stage gives a reward based on the current drop table rotation and from different drop tables. For example, for rotation B 4-stage bounty:
- Stage 1 picks a single reward from the "Stage 1" drop table labeled B,
- Stage 2 picks a single reward from the "Stage 2 & 3" drop table labeled B,
- Stage 3 picks a single reward from the "Stage 2 & 3" drop table labeled B,
- Stage 4 picks a single reward from the "Final Stage" drop table labeled B (or if all 4 optional objectives are completed, two rewards will be chosen from the "Final Stage" drop table labeled B with replacement).
In this example, if a player wants bounty rewards from rotation C, then they will have to wait 150 minutes from their current time for rotation C bounties to be available.
The game does not do the following:
- Stage 1 picks a single reward from the "Stage 1" drop table labeled A,
- Stage 2 picks a single reward from the "Stage 2 & 3" drop table labeled A,
- Stage 3 picks a single reward from the "Stage 2 & 3" drop table labeled B,
- Stage 4 picks a single reward from the "Final Stage" drop table labeled C (or if all 4 optional objectives are is completed, two rewards will be chosen from the "Final Stage" drop table labeled C with replacement).
Isolation Vaults bounties (not to be confused with Arcana ones) are an exception in which they only pick a single reward from a single drop table only if players complete the whole bounty (all three stages, ignoring the optional last objective). For example, for rotation C Isolation Vault bounty:
- Stage 1 gives no rewards
- Stage 2 gives no rewards
- Stage 3 picks a single reward from the "Final Stage" drop table labeled C (or if the optional last objective is completed, two rewards will be chosen from the "Final Stage" drop table labeled C with replacement).
| Location/Time | 0:00:00 UTC - 2:29:59 UTC | 2:30:00 UTC - 4:59:59 UTC | 5:00:00 UTC - 7:29:59 UTC | 7:30:00 UTC - 9:59:59 UTC | 10:00:00 UTC - 12:29:59 UTC | 12:30:00 UTC - 14:59:59 UTC | 15:00:00 UTC - 17:29:59 UTC | 17:30:00 UTC - 19:59:59 UTC | 20:00:00 UTC - 22:29:59 UTC | 22:30:00 UTC - 0:59:59 UTC (next day) | 1:00:00 UTC (next day) - 3:29:59 (UTC) (next day) |
|---|---|---|---|---|---|---|---|---|---|---|---|
| Plains of Eidolon | B | C | A | B | C | A | B | C | A | B | C |
| Orb Vallis | B | C | A | B | C | A | B | C | A | B | C |
| Cambion Drift | B | C | A | B | C | A | B | C | A | B | C |
- Note that bounties on the Zariman Ten Zero do not rotate since there is only one drop table per bounty tier.
Non-Endless Missions[]
Non-endless missions have one or more objectives which must be completed in order to finish the mission. Once the objectives are completed, the mission is over and the players proceed to extraction. Not all non-endless missions offer special rewards upon completion.
There are nine kinds of non-endless missions currently in the game:
- Both kinds of Arena missions (The Index and Rathuum) offer rewards for completion. The Index awards credits, while Rathuum awards Judgement Points used to challenge Kela De Thaym.
- Capture missions award players with any of a number of items, including Mods and Void Relics.
- Rescue missions award players with a Specter blueprint upon completion.
- Some Sabotage and Exterminate missions contain optional Resource Caches which may contain Mods, credit caches, or Resources.
- Spy missions award players with Mods, Void Relics, or
Ivara blueprints upon completion. - Assault, Crossfire, and Mobile Defense missions do not have special rewards.
Reward rotations for non-endless missions follow the below pattern:
| Mission Type | Reward Criteria | A | B | C |
|---|---|---|---|---|
| Capture | Objective | Target captured | N/A | N/A |
| Conclave matches | ?? | ?? | ?? | N/A |
| Exterminate | Objective | All enemies killed | N/A | N/A |
| Nightmare Mode missions | Depends on the planet and whether or not mission is a Rescue mission. See Nightmare Mode#Mission Rewards for more details |
|
|
|
| Rathuum | Objective | 25 kills | N/A | N/A |
| Rescue | Certain objectives | Rescued hostage only w/ alarms triggered | Stealth rescue or rescued hostage and killed all Wardens |
Stealth rescue and killed all Wardens |
| Rush (Archwing) | Transport ships destroyed | 1 | 2 | 3 |
| Sabotage and Exterminate caches | Number of Resource Caches opened | 1st cache | 2nd cache | 3rd cache |
| Skirmish | Objective | All objectives completed | N/A | N/A |
| Spy | Number of Data Vaults hacked | 1st vault | 2nd vault | 3rd vault |
| Void Storm | Objective | 10 Void Traces collected | N/A | N/A |
| Volatile | Objective | All objectives completed | N/A | N/A |
| Invasion | Completing three consecutive missions for a faction on a specific node | Siding with Grineer | Siding with Corpus | Infested Outbreak |
| Granum Void | Errant Specters killed | 25-49 (+25 per squad member) |
50-74 (+25 per squad member) |
75+ (+25 per squad member) |
| Bounties | Rotates every 150 minutes (e.g. a single day/night cycle in the Plains of Eidolon); ABCABCABC... pattern | |||
Note that:
- Not all Exterminate missions spawn Resource Caches, refer to this page for specifics.
- Spy vault names do not correspond to their rotation (i.e. completing only Vault C will not give you a C rotation reward ā you need to complete all three vaults for a C rotation reward).
- Spy, Exterminate caches, Sabotage caches, Granum Void will give up to three rewards based on how much of the criteria have been met. For example, opening two caches will give a reward from Rotation A and another for Rotation B.
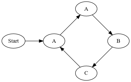
Endless Missions[]

Showcasing an AABC rotation pattern
Endless missions last for as long as the players can hold out, with enemy levels slowly rising from one rotation to the next. Each mission has a task that must be completed to add the next reward into the accumulated pool of rewards, and rewards are pulled from three rotations (with the contents of the rotation depending on the level and type of mission).
The three rotations are known as A, B, and C and the pattern is A-A-B-C and then repeat. However, there are some exceptions to the AABC pattern:
- The Index has the pattern A-B-B-..., with the rotation C occurring only once per match - after 1 hour has passed with the appearance of John Prodman (with further hours not triggering his additional appearances in the same match).
- Arbitrations variants follow the pattern A-A-B-B-C-C-C-C-... repeating.
- Disruption rotation reward is based on number of rounds and number of successfully defended conduits.
Rewards and Extraction[]
There are two pools of rewards: rotation pool and accumulated pool. For example, Defense missions add a reward to the accumulated pool after each 5th wave. After wave 5, the accumulated pool will receive a reward from the Rotation A reward pool. After wave 10, the accumulated pool will receive another reward from Rotation A. Then at wave 15, it will get a Rotation B award. If players make it to the end of wave 20, the accumulated pool will receive a Rotation C reward. After that, the pattern repeats: Waves 25 and 30 will give out Rotation A rewards, Wave 35 gives out a Rotation B reward, and Wave 40 gives out a Rotation C reward into the accumulated pool. The accumulated pool itself is awarded to players at the end of the whole mission if it is considered to be a success, and forfeited otherwise.
Defense, Infested Salvage, Interception missions, as well as The Index, allow each player the individual choice that they have 15 seconds to select of whether to stay, or leave at the end of each rotation. Any players that chose to stay continue on, while players that chose to leave receive their accumulated pool rewards and return to their Orbiters, with the rest of the squad continuing the mission for another round. In The Index, only the departed player is replaced by a random AI-controlled Warframe specter, fighting for the Tenno team.
Defection, Excavation, and Survival allow any squad member to leave at any time after the first rotation by going to the extraction point and waiting one minute, after which every player currently present on the extraction point extracts. If every squad member is currently on the extraction point - extraction happens instantly.
Sanctuary Onslaught offers neither a menu choice, nor an extraction point to end the mission. Instead, the mission will end either for each player individually once they fail to enter the next portal before the timer runs out, or for the whole squad once the killing efficiency drops to zero, with any accumulated pool being paid out at that time. As such, it is impossible to fail this mission once the portal to zone 3 appears (other than by manually aborting the mission), therefore willing players past zone 2 are always guaranteed the payout of any accumulated pool.
Summary[]
To sum up, there are 12 types of endless missions currently in the game, with rotation rewards being added to the accumulated pool as follows:
- Defection rotation rewards are added to the pool for every pair of squads safely escorted to the exit.
- Defense rotation rewards are added to the pool after every five waves.
- Disruption rotation rewards are added to the pool depending on both round progression and round performance (i.e. the number of conduits successfully defended).
- Excavation rotation rewards are added to the pool after every successful excavation drill. Drills destroyed before completion will not count towards earning the next reward.
- Infested Salvage rotation rewards are added to the pool after every wave.
- Interception rotation rewards are added to the pool after every wave and may yield a special reward every four waves.
- Orphix (Mission) rotation rewards are added to the pool for every three Orphix destroyed.
- Sanctuary Onslaught awards are added to the pool at the end of every two zones, just before the portal to the next zone appears. From zone 3 this mission can only be failed by manually aborting it, otherwise the pool is guaranteed to be paid out at the end of the mission.
- Survival rotation rewards are added to the pool every five minutes.
- The Index rotation rewards are added to the pool after every round.
- Void Armageddon rotation rewards are added to the pool after every round (every three enemy waves and a Ravenous Void Angel kill).
- Void Cascade rotation rewards are added to the pool every 4 retired purged Exolizers.
- Void Flood rotation rewards are added to the pool every 3 sealed Void Ruptures and a Thrax kill.
The accumulated pool is awarded to players at the end of the whole mission if the mission is considered to be a success, and forfeited otherwise.
The following table depicts the pattern followed by rotations for endless missions:
| Mission Type | Reward Criteria | A | B | C |
|---|---|---|---|---|
| Defense | Waves cleared | 5, 10, 25, 30, ... | 15, 35, ... | 20, 40, ... |
| Defection | Squads saved | 2, 4, 10, 12, ... | 6, 14, ... | 8, 16, ... |
| Disruption | Depends on squad performance | See separate table below | ||
| Excavation | Artifacts recovered | 1, 2, 5, 6, ... | 3, 7, ... | 4, 8, ... |
| Infested Salvage | Manifests decoded | 1, 2, 5, 6, ... | 3, 7, ... | 4, 8, ... |
| Interception | Messages decoded | 1, 2, 5, 6, ... | 3, 7, ... | 4, 8, ... |
| Orphix (Mission) | Every three Orphix destroyed | 3, 6, 15, 18, ... | 9, 21, ... | 12, 24, ... |
| Sanctuary Onslaught | Zones cleared | 2, 4, 10, 12, ... | 6, 14, ... | 8, 16, ... |
| Survival | Minutes | 5, 10, 25, 30, ... | 15, 35, ... | 20, 40, ... |
| The Index | Risk Level | Low | Medium | High |
| Void Armageddon | Every three waves and a Ravenous Void Angel kill | 3, 6, 15, 18, ... | 9, 21, ... | 12, 24, ... |
| Void Cascade | Every 4 retired purged Exolizers | 4, 8, 20, 24, ... | 12, 28, ... | 16, 32, ... |
| Void Flood | Every three sealed Void Ruptures | 3, 6, 15, 18, ... | 9, 21, ... | 12, 24, ... |
| Mission Type | Reward Criteria | A | B | C |
|---|---|---|---|---|
| Defense | Waves cleared | 5, 10 | 15, 20 | 25, 30, 35, 40, ... |
| Survival | Minutes | 5, 10 | 15, 20 | 25, 30, 35, 40, ... |
| Excavation | Artifacts recovered | 2, 4 | 6, 8 | 10, 12, 14, 16, ... |
| Interception | Messages decoded | 1, 2 | 3, 4 | 5, 6, 7, 8, ... |
| Infested Salvage | Manifests decoded | 1, 2 | 3, 4 | 5, 6, 7, 8, ... |
| Defection | Squads saved | 2, 4 | 6, 8 | 10, 12, 14, 16, ... |
| Round | 1 conduit defended | 2 conduits defended | 3 conduits defended | 4 conduits defended |
|---|---|---|---|---|
| 1 | A | A | A | B |
| 2 | A | A | B | B |
| 3 | A | B | B | C |
| 4+ (5, 6, 7, 8, ...) | B | B | C | C |
Mission Tier[]
Some types of missions are separated into different reward tiers which are typically split between planets and regions on the Star Chart. Missions in the same tier share the same rewards. For example, Lith, Earth and Lares, Mercury are both Tier 1 Defense missions, so you have the same chances to get the same items as a reward from each.
Most mission types are separated into three main tiers referred to as either Tier 1, Tier 2, and Tier 3 (sometimes abbreviated to T1, T2, and T3) or Easy, Medium and Hard. Although Tiers are separated based on level, the exact cutoff can vary depending on mission type ā Draco and Casta on Ceres both have an enemy level of 12-17, but Draco is a Tier 2 Survival while Casta is a Tier 1 Defense.
There are also some missions that have their own special rewards that are separate from other missions of that type. For example, Dark Sector Defense missions pull from a special table that is separate from the normal Defense tiers and Orokin Derelict missions all have their own separate tables.
If you're unsure about what tier a specific mission is or what rewards are tied to that tier, check the page for that mission type. If you see a rewards table and want to know what missions are tied to those rewards, you can expand the 'View Mission Location List' to see a list of all missions in that tier.
In general, missions on Earth, Venus, Mercury, Mars, Phobos, and Ceres have Tier 1 rewards, those on Jupiter, Europa, and Saturn have Tier 2 rewards, and missions on Uranus, Neptune, Pluto, and Sedna have Tier 3 rewards. Missions in the Void, Kuva Fortress, Orokin Derelict, and Lua are the outliers to this guideline.
| Rewards | |
|---|---|
| 11.06% | |
| 11.06% | |
| 10.84% | |
| 10.84% | |
| 10.84% | |
| 10.84% | |
| 10.84% | |
| 10.84% | |
| 10.84% | |
| 0.34% | |
| 0.34% | |
| 0.34% | |
| 0.34% | |
| 0.34% | |
| 0.34% | |
Locations:
Drop tables outdated? Readers can update Module:DropTables/data and cross reference with official drop tables on https://www.warframe.com/droptables.
| Rewards | |
|---|---|
| 13.33% | |
| 13.33% | |
| 13.33% | |
| 13.33% | |
| 13.33% | |
| 13.33% | |
| 13.33% | |
| 6.67% | |
Drop tables outdated? Readers can update Module:DropTables/data and cross reference with official drop tables on https://www.warframe.com/droptables.
| Rewards | |
|---|---|
| 6.67% | |
| 6.67% | |
| 6.67% | |
| 6.67% | |
| 6.67% | |
| 6.67% | |
| 6.67% | |
| 6.67% | |
| 6.67% | |
| 6.67% | |
| 6.67% | |
| 6.67% | |
| 6.67% | |
| 6.67% | |
| 6.67% | |
Drop tables outdated? Readers can update Module:DropTables/data and cross reference with official drop tables on https://www.warframe.com/droptables.
- Tierless mission types
| A | B | C | |||
|---|---|---|---|---|---|
| 10% | 6.67% | 14.29% | |||
| 10% | 6.67% | 14.29% | |||
| 10% | 6.67% | 14.29% | |||
| 10% | 6.67% | 14.29% | |||
| 10% | 6.67% | 14.29% | |||
| 10% | 6.67% | 14.29% | |||
| 10% | 6.67% | 14.29% | |||
| 10% | 6.67% | ||||
| 10% | 6.67% | ||||
| 10% | 6.67% | ||||
| 6.67% | |||||
| 6.67% | |||||
| 6.67% | |||||
| 6.67% | |||||
| 6.67% | |||||
Drop tables outdated? Readers can update Module:DropTables/data and cross reference with official drop tables on https://www.warframe.com/droptables.
Mission Modifiers[]
Arbitrations[]
Arbitration Alerts reward one unit of
Vitus Essence for every rotation completed. Players can use their collected Vitus Essence to purchase unique items and mods from the Arbitration representative in the Relays' Hexis Enclave. Players will also get a
50,000 Credit Reward on mission completion.
Arbitration Drones also have a 6% chance to drop Vitus Essence. Dropped essence will despawn after 5 minutes.
Rewards are on an AABBCCCC... rotation, as opposed to the AABC rotation used in normal missions. After the first four rotations (AABB), the Arbitration will continue on the C rotation endlessly.
For Excavation missions, rewards are given out every two completed digs instead of every one dig.
For Disruption missions, rewards tier is determined by the standard Disruption reward system with no alterations, dependent upon round and conduits defended.
| A | B | C | |||
|---|---|---|---|---|---|
| 44% | 44.5% | 33% | |||
| Ayatan Ayr Sculpture | 9% | Ayatan Piv Sculpture | 12% | Ayatan Orta Sculpture | 20% |
| Ayatan Sah Sculpture | 9% | Ayatan Vaya Sculpture | 12% | 7% | |
| Ayatan Valana Sculpture | 9% | 7% | 5% | ||
| 7% | 5% | 5% | |||
| 5% | 5% | 5% | |||
| 5% | 5% | 5% | |||
| 5% | 2.5% | 5% | |||
| 2% | 2.5% | 4.5% | |||
| 2% | 2.5% | 3.5% | |||
| 2% | 2% | 3.5% | |||
| 1% | 3.5% | ||||
Locations: See in-game World State Window, must complete all nodes on Star Chart
Drop tables outdated? Readers can update Module:DropTables/data and cross reference with official drop tables on https://www.warframe.com/droptables.
Void Fissure[]
- Main article: Void Fissure
Void Fissure, when completed with a Void Relic equipped, will reward players with Prime components or Forma blueprints.
Invasions[]
- Main article: Invasion
Invasion missions allow players to choose one enemy faction to side with, either
Grineer or
Corpus. Upon completing three successful missions on one side, players will be awarded with Research components such as
Detonite Injector,
Fieldron and
Mutagen Mass, and occasionally rare items such as
Orokin Reactor or Vandal and Wraith Weapon parts.
Infested Outbreaks require players to assist an enemy faction to cleanse the area from Infested. To acquire a reward, players must complete three missions against the Infested.
Nightmare Mode[]
- Main article: Nightmare Mode
Nightmare missions appear randomly in the star chart as one of the mission options that players can choose from. Nightmare missions only appear if the player has successfully completed every mission on that planet. These missions have random debuffs such as energy drain, health drain and low gravity etc. One dual-stats Nightmare Mod is guaranteed as reward.
Alerts[]
- Main article: Gift from the Lotus
Gift from the Lotus Alerts are special missions assigned by the Lotus which will guarantee a predefined reward. Possible rewards are
Orokin Catalyst,
Orokin Reactor, and Veiled Riven Mod.
Resource Caches[]
Many kinds of Sabotage missions contain Resource Caches. For each cache collected, the squad will earn up to 2000 affinity (based on mission level) as well as additional rewards depending on the kind of Sabotage mission. Like Spy Mission Vaults, these additional rewards will not be revealed until the mission is completed. On the mission completion screen, cache rewards will be marked with "Identified".
Sabotage missions in the Void give an additional Void Relic as an end of mission reward regardless of the number of discovered Resource Caches. These rewards are under the tiered drop tables under the Void tab. Archwing Sabotage missions do not feature Resource Caches but give an end of mission reward upon completion.
| A | B | C | |||
|---|---|---|---|---|---|
| 100% | 24.35% | 30.2% | |||
| 24.35% | 30.2% | ||||
| 12.18% | 15.1% | ||||
| 12.18% | 3.67% | ||||
| 12.18% | 3.67% | ||||
| 12.18% | 3.67% | ||||
| 2.58% | 3.67% | ||||
| 3.67% | |||||
| 3.67% | |||||
| 2% | |||||
| 0.5% | |||||
Drop tables outdated? Readers can update Module:DropTables/data and cross reference with official drop tables on https://www.warframe.com/droptables.
| A | B | C | |||
|---|---|---|---|---|---|
| 33.33% | 30.98% | 35.49% | |||
| 33.33% | 15.49% | 15.49% | |||
| 16.67% | 15.49% | 15.49% | |||
| 16.67% | 15.49% | 15.49% | |||
| 5.64% | 4.51% | ||||
| 5.64% | 4.51% | ||||
| 5.64% | 4.51% | ||||
| 5.64% | 4.51% | ||||
Drop tables outdated? Readers can update Module:DropTables/data and cross reference with official drop tables on https://www.warframe.com/droptables.
| A | B | C | |||
|---|---|---|---|---|---|
| 100% | 62.06% | 15.1% | |||
| 12.65% | 15.1% | ||||
| 12.65% | 15.1% | ||||
| 12.65% | 15.1% | ||||
| 15.1% | |||||
| 5.5% | |||||
| 5.5% | |||||
| 5.5% | |||||
| 5.5% | |||||
| 0.67% | |||||
| 0.67% | |||||
| 0.67% | |||||
| 0.5% | |||||
Drop tables outdated? Readers can update Module:DropTables/data and cross reference with official drop tables on https://www.warframe.com/droptables.
| A | B | C | |||
|---|---|---|---|---|---|
| 100% | 62.06% | 34.6% | |||
| 12.65% | 15.1% | ||||
| 12.65% | 15.1% | ||||
| 12.65% | 15.1% | ||||
| 4.4% | |||||
| 4.4% | |||||
| 4.4% | |||||
| 4.4% | |||||
| 1% | |||||
| 1% | |||||
| 0.5% | |||||
Drop tables outdated? Readers can update Module:DropTables/data and cross reference with official drop tables on https://www.warframe.com/droptables.
| A | B | C | |||
|---|---|---|---|---|---|
| 100% | 62.06% | 41.42% | |||
| 12.65% | 12.58% | ||||
| 12.65% | 12.58% | ||||
| 12.65% | 12.58% | ||||
| 3.67% | |||||
| 3.67% | |||||
| 3.67% | |||||
| 3.67% | |||||
| 3.67% | |||||
| 2% | |||||
| 0.5% | |||||
Drop tables outdated? Readers can update Module:DropTables/data and cross reference with official drop tables on https://www.warframe.com/droptables.
| A | B | C | |||
|---|---|---|---|---|---|
| 40% | 30.98% | 20% | |||
| 40% | 30.98% | 15.49% | |||
| 20% | 15.49% | 15.49% | |||
| 4.51% | 15.49% | ||||
| 4.51% | 15.49% | ||||
| 4.51% | 4.51% | ||||
| 4.51% | 4.51% | ||||
| 4.51% | 4.51% | ||||
| 4.51% | |||||
Drop tables outdated? Readers can update Module:DropTables/data and cross reference with official drop tables on https://www.warframe.com/droptables.
| A | B | C | |||
|---|---|---|---|---|---|
| 100% | 62.06% | 60.29% | |||
| 12.65% | 18.88% | ||||
| 12.65% | 3.67% | ||||
| 12.65% | 3.67% | ||||
| 3.67% | |||||
| 3.67% | |||||
| 3.67% | |||||
| 2% | |||||
| 0.5% | |||||
Drop tables outdated? Readers can update Module:DropTables/data and cross reference with official drop tables on https://www.warframe.com/droptables.
| Rewards | |
|---|---|
| 6.67% | |
| 6.67% | |
| 6.67% | |
| 6.67% | |
| 6.67% | |
| 6.67% | |
| 6.67% | |
| 6.67% | |
| 6.67% | |
| 6.67% | |
| 6.67% | |
| 6.67% | |
| 6.67% | |
| 6.67% | |
| 6.67% | |
Drop tables outdated? Readers can update Module:DropTables/data and cross reference with official drop tables on https://www.warframe.com/droptables.
| A | B | C | |||
|---|---|---|---|---|---|
| 100% | 54.48% | 55% | |||
| 15.18% | 25.29% | ||||
| 15.18% | 4.42% | ||||
| 15.18% | 4.42% | ||||
| 4.42% | |||||
| 4.42% | |||||
| 1.01% | |||||
| 1.01% | |||||
Drop tables outdated? Readers can update Module:DropTables/data and cross reference with official drop tables on https://www.warframe.com/droptables.
| Rewards | |
|---|---|
| 12.5% | |
| 12.5% | |
| 6.25% | |
| 6.25% | |
| 6.25% | |
| 6.25% | |
| 6.25% | |
| 6.25% | |
| 6.25% | |
| 6.25% | |
| 6.25% | |
| 6.25% | |
| 6.25% | |
| 6.25% | |
Drop tables outdated? Readers can update Module:DropTables/data and cross reference with official drop tables on https://www.warframe.com/droptables.
| A | B | C | |||
|---|---|---|---|---|---|
| 28.57% | 30.35% | 23.12% | |||
| 28.57% | 30.35% | 19.36% | |||
| 14.29% | 15.18% | 19.36% | |||
| 14.29% | 4.42% | 19.36% | |||
| 14.29% | 4.42% | 3.76% | |||
| 4.42% | 3.76% | ||||
| 4.42% | 3.76% | ||||
| 4.42% | 3.76% | ||||
| 2.01% | 3.76% | ||||
Drop tables outdated? Readers can update Module:DropTables/data and cross reference with official drop tables on https://www.warframe.com/droptables.
| Rewards | |
|---|---|
| 25.81% | |
| 25.81% | |
| 25.81% | |
| 3.76% | |
| 3.76% | |
| 3.76% | |
| 3.76% | |
| 3.76% | |
| 3.76% | |
Drop tables outdated? Readers can update Module:DropTables/data and cross reference with official drop tables on https://www.warframe.com/droptables.
Exterminate missions on Jupiter, Lua, and Kuva Fortress have Resource Caches. Each reward rotation corresponds to the resource cache that is opened: Rotation A = 1st Cache, Rotation B = 2nd Cache, Rotation C = 3rd Cache. Cache rewards are cumulative.
| A | B | C | |||
|---|---|---|---|---|---|
| 33.33% | 12.65% | 15.1% | |||
| 33.33% | 12.65% | 15.1% | |||
| 33.33% | 12.65% | 15.1% | |||
| 12.65% | 15.1% | ||||
| 12.65% | 15.1% | ||||
| 12.65% | 4.4% | ||||
| 11.06% | 4.4% | ||||
| 11.06% | 4.4% | ||||
| 1.01% | 4.4% | ||||
| 1.01% | 4.4% | ||||
| 1% | |||||
| 1% | |||||
| 0.5% | |||||
Drop tables outdated? Readers can update Module:DropTables/data and cross reference with official drop tables on https://www.warframe.com/droptables.
| A | B | C | |||
|---|---|---|---|---|---|
| 22.56% | 25.29% | 10.82% | |||
| 12.91% | 25.29% | 10.82% | |||
| 12.91% | 25.29% | 10.82% | |||
| 12.91% | 22.11% | 10.82% | |||
| 12.91% | 1.01% | 10.82% | |||
| 12.91% | 1.01% | 10.82% | |||
| 12.91% | 10.82% | ||||
| 10.82% | |||||
| 10.82% | |||||
| 1.29% | |||||
| 1.29% | |||||
Drop tables outdated? Readers can update Module:DropTables/data and cross reference with official drop tables on https://www.warframe.com/droptables.
| A | B | C | |||
|---|---|---|---|---|---|
| 100% | 12.65% | 10.79% | |||
| 12.65% | 10.79% | ||||
| 12.65% | 10.79% | ||||
| 12.65% | 10.79% | ||||
| 12.65% | 10.79% | ||||
| 12.65% | 10.79% | ||||
| 11.06% | 10.79% | ||||
| 11.06% | 3.67% | ||||
| 2.01% | 3.67% | ||||
| 3.67% | |||||
| 3.67% | |||||
| 3.67% | |||||
| 3.67% | |||||
| 2% | |||||
| 0.5% | |||||
Locations:
Drop tables outdated? Readers can update Module:DropTables/data and cross reference with official drop tables on https://www.warframe.com/droptables.
Archwing[]
- Main article: Archwing#Rewards
Each Archwing mission has its own set of rewards for completion, even if the non-Archwing version of the mission does not (for example, Archwing Mobile Defense missions are the only Mobile Defense missions to offer a reward for successful completion).
Other Sources of Drop Table Rewards[]
Daily Tribute[]
- Main article: Daily Tribute
Daily Tribute are given to players through a lottery that runs once everyday upon logging into the game. Possible rewards are discount to Platinum purchase, various boosters and Resources etc.
Nightwave[]
- Main article: Nightwave
Nightwave is a pirate radio station that offers various rewards through the completion of various mission challenges.
Orokin Derelict[]
- Main article: Orokin Derelict
Orokin Derelict houses the Orokin Vault which awards players with a Corrupted Mod after a successful raid.
Patch History[]
Update 27.2 (2020-03-05)
- Reward Cleanup: Base Missions:
Base Missions are getting a small cleanup for this Mainline. For reference, all tables are currently available at www.warframe.com/droptables .
This change will be told from the perspective of a single node for example purposes, but the logic applies gamewide to Base Missions - which is to say, the Node on the Star chart (excluding special missions like the Index, Open Worlds, Rathuum, Assassination).
Consider the node Memphis, Phobos.
Base Missions like Memphis are receiving a bit of āfat trimmingā in terms of the lowest-point rewards available within them. For example,āMemphisā on āPhobosā will have its 500, 1,000, 1,500 Credit Caches removed, as well as the 15 and 50 Endo. This will only leave the 2,000 Credits Cache, and the 100 Endo drop for each category, with a drop chance of the sum of all prior denominations.
Why: This is more of a Review and clean up for some of the less-rewarding aspects of missions. Right now the base Solar Map nodes exist to progress from planet to planet, while providing either general rewards (Mods, Credits) or specific return rewards (Ivara, Nidus, etc). By getting rid of the lower value items on the general rewards, people playing for the first time should come across a bit of a bump in their resources and credits. We have more plans for this to write about at a later date.
Hotfix 19.5.7.1 (2017-01-06)
- Players who are dead during extraction are no longer denied their mission rewards.
- Fixed a script error that would occur if you closed the Mission Results screen while going back to your ship.
See Also[]
- Baro Ki'Teer - Void trader from whom players can buy special items with Ducats.
- Syndicates - Factions that players can buy exclusive items from with Standing. They also assign special daily alerts.